更新时间:2026-05-08
点击次数:16439
一、接触角的定义是什么?
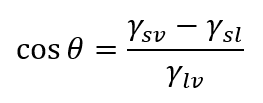
1805年,英国科学家托马斯·杨(Thomas Young)在研究润湿和毛细现象时描述了界面张力和接触角的定量关系。两百多年来,杨氏方程已成为润湿领域基本的理论之一。将一液滴滴在固体表面上,形成图所示的形状。在固-液-三相界面上,固气的界面张力为γSV,固液的界面张力为γSL,气液的界面张力为γLV。在三相交界处自固液界面经过液体内部到气液界面的夹角叫接触角θ。三相界面服从的关系就是著名的Young方程:
γLV cosθ=γSV - γSL
Young方程是研究液固润湿作用的基础。接触角θ的大小是判定润湿性能好坏的依据。若θ=0,cosθ=1,液体*润湿固体表面,液体在固体表面铺展;0<θ<90°,液体可润湿固体,且θ值越小,润湿性能越好;90°<θ<180°,液体不润湿固体;θ=180°,*不润湿,液体在固体表面凝聚成小球。

二、接触角的测定方法
在光滑、均匀、水平的固体表面上放一小液滴,因液滴很小,重力作用可以忽略。可将液滴视作球体的一部分。测得液滴的高度h和底宽2r,由简单的几何分析可求出θ。

Sinθ=2hr/(h2+r2)
tanθ=2hr/(r2-h2)
将表面光滑、均匀的固体薄片垂直插入液体中,如果液体能够湿润次固体,则将沿薄片平面上升。升高值h和接触角θ之间的关系为:
Sinθ=1-ρgh2/2σLG
液体的密度ρ,表面张力σLG

三、接触角的滞后现象
考虑一个在水平面上具有稳定接触角的液滴。若表面是理想光滑和均匀的,往这液滴加少量液体,则液滴周界的前沿向前拓展,但仍保持原来的接触角。从液滴中抽取少量液体,则液滴的周界前沿向后收缩,但维持原来的接触角。反之,若表面是粗糙的或不均匀的,向液滴加入一点液体只会使液滴变高,周界不动,从而使得接触角变大,此时的接触角称为前进角θa。若加入足够多的液体,液滴的周界会突然向前蠕动,此突然运动刚要发生时的角度称为大前进角θa max。若从液滴中取出少量液体,液滴在周界不移动的情况下变得更平坦,接触角变小,此时的接触角称为后退角θr。当抽取足够多的液体时,液滴周界前沿会突然收缩,此突然收缩刚要发生时的角度称为小后退角θr min。
在倾斜面上的前进角和后退角。假若没有接触角滞后,平板只要稍微倾斜一点,液滴就会滚动。接触角的滞后时液滴能稳定在斜面上。这个事实表明,接触角滞后的原因时由于液滴的前沿存在这能垒。
接触角测量仪原理
恒压下,当一液体放置在固体平面上时,液滴能自动地在固体表面铺展开来,或以与固体表面成一定接触角的液体存在。
接触角测试仪,主要用于测量液体对固体的接触角,即液体对固体的浸润性,可以测量各种液体对各种材料的接触角,如块状材料、纤维材料、纺织材料等,粉末样品在压片后也可测量。


表达式:

应用范围
纳米材料科学与工程已经成为世界性的研究热点,在研究纳米材料的表面改性时,往往要涉及润湿接触角这个概念。对石油、印染、医药、喷涂、选矿等行业的科研生产有非常重要的作用,尤其在材料表面改性研究方面的应用比较突出。
测试方法
①测试方式:座滴法
②接触角分析方法:高宽法、杨拉普拉斯法、椭圆法、锥切法、圆法
③拍摄图像方法:单张拍摄
④接触角测试范围:0<θ<180°
⑤测试分辨率:0.01°
⑥测试精度: 0.1°
具体操作如下:
1、在瓶口的微量进样针中加入待测液体(注意排空气泡)
2、启动测试设备,设备自动将一滴液体滴在待测固体表面,成像系统将固体表面的液体投影到屏幕上,并立即冻结图像,然后直接用软件测量切线与相界面的夹角,直接测量出接触角度的大小。
3、移动测试平台,在未经测试的固体表面,重复上述操作,一般平行测试3-6个接触角,取平均值。
应用案例(代表性图谱展示)
测量液体在各种材料表面的铺展、渗透、吸收等润湿行为,测量静态接触角、静态接触角、测量分析固体的表面自由能、液体的界面和表面张力、全自动注射系统、前进角/后退角等全面功能。
案例一


案例二
将水、乙醇滴在待测基材表面,当液滴接触界面时,开始记时,15S冻结图像,测量接触角测试5次,取平均值。


样品对水的接触角测试图


样品对乙醇的接触角测试图
测试结果如下:

案例三
液体表/界面张力与表面能
界面是指两相接触的约几个分子厚度的过渡区,常见的两相界面有:气一液界面、气一固界面、液一液界面、固一液界面和固一固界面。任何不相溶两相间的张力叫界面张力。
表面张力:液体表面分子因受力不均产生的收缩力,宏观表现为单位长度上的力(单位:N/m),或单位表面积的能量(单位:J/m²)。
如同液体表面张力为气体与液体间的界面张力一样,固体表面自由能为气体与固体间界面张力的一般定义,即在一定温度和压力下,形成单位新面积时外力所做的可逆功,是固体比表面吉布斯(Gibbs)自由能的简称。
表面能:固体表面原子因配位不饱和而具有的过剩能量,通常与表面张力数值相等,但本质不同(前者为固体属性,后者为液体属性)。
表面能决定了接触角和粘接力
把一滴水滴在材料表面,会出现一个“接触角”:
表面能高 → 液体铺展得开 → 接触角小
表面能低 → 液体蜷缩成滴 → 接触角大
润湿是粘接的前提,决定了胶黏剂能不能铺展到整个表面。
高表面能液体不能润湿低表面能固体;液体与固体表面能越接近,润湿性越差;在同一固体上,波体的表面能越高,润湿性越差;同一液体在表面能大的固体表面润湿性好。

接触角的测量原理基于表面张力和界面张力的平衡,其大小受到表面张力和固体表面的性质影响。如果液体分子与固体表面分子之间的相互作用较强,液体将更容易展开在固体表面上,接触角就会变小,润湿性更强,表示材料表面越亲水;反之,如果相互作用较弱,接触角就会变大,润湿性较差,则材料表面越疏水。
当θ<90°时,我们称固体表面为亲水表面,如下图中左侧示意;
当θ>90°时,我们称固体表面为疏水表面,如下图中右侧示意;


在假设固体表面为各向同性、均质、平坦的条件下,可以根据三相接触点处的受力平衡,写出接触角表达式如下:

如果表面粗糙,定义粗糙因子R_f为固体表面真实表面积与投影面积之比,计算公式如下:

则粗糙因子对于接触角影响如下:

因为R_f是一个大于1的数,所以针对一个亲水表面,粗糙会使其更加亲水;针对一个疏水表面,粗糙会使其更加疏水。
但是这个分析还有一定局限性在于对于表面粗糙状态的表面仅通过面积之比,缺少更加复杂的表面形貌等信息,那些也会对接触角带来显著的影响。
表面张力与表面能:在纯液体中两者数值相等,但概念不同。表面张力是力学描述,表面能是热力学描述。

四、接触角测量仪软件功能包括哪些
接触角测量仪主要用于测量液体对固体的接触角,即液体对固体的浸润性,仪器能测量各种液体对各种材料的润湿角/接触角。同时可测量和计算表面液体张力/界面张力、固体表面张力/自由能。能测量各种液体对各种材料的接触角。仪器采用机械电子一体化工艺制造,仪器采用先进的CMOS/CCD工业数字摄像机(可选配高速摄像和存储功能的工业相机),配倍高清可变焦式显微镜筒和高亮度LED冷光源背景光源系统,XYZ三维样品台(可选配滚动平台、自动控温平台),高精度进样系统(可选配全自动进样系统和全自动滴定系统)。
接触角测量仪软件功能包括:
(1)接触角计算功能(测高法、量角法、自动分析法);
(2)左右接触角对比功能(可计算平均值);
(3)九种常见表面自由能估算;
(4)自动基准线功能;
(5)软件自动识别限位
(6)程序化设定测量点
(7)图像和数据自动保存数据库,可调阅和打印
(8)粘度功、内聚能、加液减液法测量滞后性
(9)悬滴法测量液体表面张力
五、接触角测量仪的主要功能和应用范围
接触角测量仪的主要功能:
1、液滴在固体表面的接触角测量(包括外相为气体或不相混溶的液体);
2、液滴在固体表面的动态接触角测量(包括前进接触角、后退接触角、滚动角等);
3、液—气表面和液—液界面张力测量(悬滴法);
4、表面活性剂临界胶束浓度分析(悬滴法);
5、固体表面自由能及其分量估算(包括表面能、临界表面张力、色散力、极性力、氢键力、范德华分量、路易斯酸/碱分量等);
6、润湿性行为分析(包括竞争、粘附、润湿、铺展、吸收等)。
接触角测量仪应用范围:
1、纳米材料与不同活性剂间湿润性的测定与研究;
2、薄膜、织物、纸张等表面吸附/吸收过程分析;
3、亲水铝箔、岩芯、矿物、沥青、绝缘子等润湿性行为分析;
4、偏光片、胶片、眼镜片等表面润湿性和吸附性分析;
5、清洗行业的清洗效果检测;
6、晶圆、封装基板、LED、高精密部件等有机污染检测;
7、玻璃、液晶屏、触控屏等表面处理效果和清洁度检测;
8、表面活性剂如化妆品、乳液、石油等分析与应用;
9、医药、食品、聚合物等表面竞争、吸附和浸透性分析;
10、粘贴剂与固体间的粘接程度研究与检测;
11、纤维、碳纤维、玻璃纤维和树脂等表征分析;
12、喷雾、油漆、涂料和油墨等配方设计和润湿性分析;
13、清洁剂如肥皂、洗涤剂等表(界)面张力分析;
14、印刷、镀膜、电镀和上漆等表面附着力检测。